热线电话:0755-23712116
邮箱:contact@shuangyi-tech.com
地址:深圳市宝安区沙井街道后亭茅洲山工业园工业大厦全至科技创新园科创大厦2层2A
景深概念
景深(depth of field)定义:摄影机镜头或其他成像器前沿能够取得清晰图像的成像所测定的被摄物体前后距离范围。通俗讲即被拍摄物体对焦点(focus point)平面处的景物,在胶片上会形成清晰影像,在对焦点平面的前方某处到其后方某处有一个范围,其内的景物都能形成清晰影像,这一范围称为景深,讨论景深,一般我们用“深浅”形容,即浅景深(narrow depth of field)或大景深(large depth of field)。
景深原理
理解景深原理前,我们必须明白一件事:当我们对焦时,其实只有一个平面是真正合焦的。这个平面与像平面(可以简单理解为胶片或者传感器平面)平行。凡是在这个平面之前或者之后的都不是合焦状态。合焦平面上物体某点发出不同角度的光在像平面成像都汇聚于一点,而非合焦物体的某点发出不同角度的光会落在像平面不同点上,形成一个模糊圆,这个圆术语叫做弥散圆(circle of confusion)。
所以没有对上焦的东西,在底片上看起来就是模糊的。如果拍的是一个灯泡的话,就会看起来像是一个圈。下面看看弥散圆和对焦距离的关系,非合焦平面1距离合焦平面较远,其在像平面弥散圆越大,而非合焦平面2距离合焦平面较近,像平面上弥散圆较小。因此离合焦平面得越近,弥散圆就越小。
如果弥散圆小到人眼无法鉴别(或者说弥散圆直径小于传感器像元的大小),模糊圆可被视为点的成像,看起来就和对上焦的东西一样清晰,此无法分辨的弥散圆称为容许弥散圆(permission circle of confusion)。在被摄物体(对焦点或合焦平面)前后纵深,有一段距离,其影像在像平面的模糊程度肉眼无法分辨,比较清晰,都在容许弥散圆限定范围内,它们之间距离称为景深。
景深计算
通用计算公式
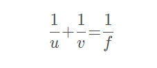
普通相机计算公式简化,拍照大多是中长拍摄距离,即L LL远大于f ff,根据成像公式
景深影响因素
由景深计算公式可知,景深与镜头使用光圈、镜头焦距、拍摄距离以及对像质的要求(表现为对容许弥散圆的大小)有关。这些因素对景深的影响如下:
镜头光圈:光圈越大,景深越小;光圈越小,景深越大;
镜头焦距:镜头焦距越长,景深越小;焦距越短,景深越大;
拍摄距离:距离越远,景深越大;距离越近,景深越小。
镜头光圈
光圈大小无疑是我们控制景深最为有效的因素了。我们可以借用下面这张图来看一下景深的作用效果:
光圈大小与景深深浅成反比,光圈越大,景深越浅。
镜头焦距
镜头焦距的长短同样也左右着景深的效果。以下图为例,在同样的光圈和拍摄距离下,同样一张照片,仅仅是焦距的变化(左边:24MM;右边:70MM),景深也随之变化。
焦距较长的镜头能提供较浅的景深,以及较大的前景深,这可以更加突显出焦点的部份,因为模糊部份被扩大了。
成像距离
拍摄距离的远近也是影响景深大小的重要因素。被拍摄的物体距离镜头越近,景深就会越浅。
弥散圆直径选择
以下为普通数码相机弥散圆计算方式:通常情况下,肉眼分辨率为而千分之一至五千分之一。人眼在明视距离(眼睛正前方30厘米)能够分辨的最小物体尺寸大约为0.125mm。所以,弥散圆放大在7寸照片(这是个常用尺寸)也只能是0.125mm以内,也就是图像对角线长度的1/1730左右。这个1/1730左右的弥散圆大小对于任何大小的底片或者CCD都适用,因为它们放大出的7寸照片,都可以将弥散圆控制在0.125mm。所以蔡斯公司制定的标准就是弥散圆直径 δ=1/1730 底片对角线长度。
在这里可以看出:景深是相对的,不是绝对的,和弥散圆直径 δ的取值大小有着直接的关系。容许弥散圆直径的计算公式δ = d / 1730 ,d为CCD芯片对角线长度(芯片尺寸)。
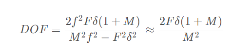
工业相机应用
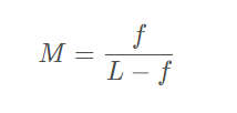
工业相机一般拍摄近距离物体,放大倍率M 值较大,根据成像放大倍率公式:
景深公式简化为:
镜头光圈:光圈越大,景深越小;光圈越小,景深越大;
容许弥散圆直径:容许直径越大,景深越大
放大倍率:倍率越大,景深越小
景深受放大倍率影响较大,随着放大倍率增大快速降低:
上图中光圈值F = 12 ,容许弥散圆直径δ = 0.04 m m。
一般工业相机弥散圆直径选取0.04mm,而随着近年相机芯片像元尺寸的减小,弥散斑取0.04mm已远大于芯片的分辨能力。而且严格而言,同一个镜头,搭配不同像元尺寸的相机,由于允许的弥散圆直径大小的不同,景深也会有所差异。但习惯上,机器视觉行业各镜头厂商仍以弥散圆直径=0.04mm来计算景深。因此镜头实际测试出的景深值<镜头参数标示出的景深理论值。
MTF机台测试DOF
镜头MTF测试机,可以通过测试得到景深DOF。方法为通过Through Focus MTF 曲线判定景深DOF。
图上图,MTF大于0.2(清晰度可接受),-0.14到+0.07,焦深 0.14+0.07 = 0.21。备注:实际上,这里得到的是焦深,焦深跟景深有对应关系,得到了焦深,也就得到了景深。
热线电话:0755-23712116
邮箱:contact@shuangyi-tech.com
地址:深圳市宝安区沙井街道后亭茅洲山工业园工业大厦全至科技创新园科创大厦2层2A