图像处理
新闻详情

卷积运算(Convolution)说明

发布时间:2019-09-12 11:12:26 最后更新:2020-11-23 14:47:22 浏览次数:5265

边缘

边缘(edge)是指图像局部强度变化最显著的部分。主要存在于目标与目标、目标与背景、区域与区域(包括不同色彩)之间,是图像分割、纹理特征和形状特征等图像分析的重要基础。

图像梯度特征的常用算子:Sobel、Prewitt、Roberts

一阶导数法:梯度算子

对于左图,左侧的边是正的(由暗到亮),右侧的边是负的(由亮到暗)。对于右图,结论相反。常数部分为零。用来检测边是否存在。

 

二阶微分法:拉普拉斯

二阶微分在亮的一边是负的,在暗的一边是正的。常数部分为零。可以用来确定边的准确位置,以及像素在亮的一侧还是暗的一侧。


拉普拉斯对噪声敏感,会产生双边效果。不能检测出边的方向。通常不直接用于边的检测,只起辅助的角色,检测一个像素是在边的亮的一边还是暗的一边利用零跨越,确定边的位置。

索贝尔算子(Sobel operator)

索贝尔算子(Sobel operator)主要用作边缘检测,在技术上,它是一离散性差分算子,用来运算图像亮度函数的灰度之近似值。在图像的任何一点使用此算子,将会产生对应的灰度矢量或是其法矢量。

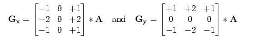
Sobel卷积因子为:

 

该算子包含两组3x3的矩阵,分别为横向及纵向,将之与图像作平面卷积,即可分别得出横向及纵向的亮度差分近似值。如果以A代表原始图像,Gx及Gy分别代表经横向及纵向边缘检测的图像灰度值,其公式如下:

 

具体计算如下:

Gx = (-1)*f(x-1,y-1) + 0*f(x,y-1) + 1*f(x+1,y-1)

     +(-2)*f(x-1,y) + 0*f(x,y)+2*f(x+1,y)

     +(-1)*f(x-1,y+1) + 0*f(x,y+1) + 1*f(x+1,y+1)

=[f(x+1,y-1)+2*f(x+1,y)+f(x+1,y+1)]-[f(x-1,y-1)+2*f(x-1,y)+f(x-1,y+1)]

 

Gy =1* f(x-1, y-1)+ 2*f(x,y-1)+ 1*f(x+1,y-1)

     +0*f(x-1,y) 0*f(x,y) + 0*f(x+1,y)

     +(-1)*f(x-1,y+1) + (-2)*f(x,y+1) + (-1)*f(x+1, y+1)

= [f(x-1,y-1) +2f(x,y-1) + f(x+1,y-1)]-[f(x-1, y+1) + 2*f(x,y+1)+f(x+1,y+1)]

其中f(a,b), 表示图像(a,b)点的灰度值;

图像的每一个像素的横向及纵向灰度值通过以下公式结合,来计算该点灰度的大小:

 

通常,为了提高效率 使用不开平方的近似值:

 

如果梯度G大于某一阀值 则认为该点(x,y)为边缘点。

然后可用以下公式计算梯度方向: 

 

Sobel算子根据像素点上下、左右邻点灰度加权差,在边缘处达到极值这一现象检测边缘。对噪声具有平滑作用,提供较为精确的边缘方向信息,边缘定位精度不够高。当对精度要求不是很高时,是一种较为常用的边缘检测方法。  

普利维特算子(Prewitt operate): 

除sobel边缘检测外 还有Prewitt算子, 它的卷积因子如下:


其他计算 和sobel差不多;

Prewitt算子利用像素点上下、左右邻点灰度差,在边缘处达到极值检测边缘。对噪声具有平滑作用,定位精度不够高。

罗伯茨交叉边缘检测(Roberts Cross operator)

卷积因子如下:

 

灰度公式为:

 

近似公式为:

 

具体计算如下:

G(x,y)=abs(f(x,y)-f(x+1,y+1))+abs(f(x,y+1)-f(x+1,y)) 

灰度方向 计算公式为:

 

Roberts算子采用对角线方向相邻两像素之差近似梯度幅值检测边缘。检测水平和垂直边缘的效果好于斜向边缘,定位精度高,对噪声敏感。

客服电话
  • 0755-23712116
  • 13310869691