编程代码
新闻详情

常见的8种数据结构

发布时间:2020-01-06 08:40:09 最后更新:2020-11-23 14:46:28 浏览次数:4506


1976 年,一个瑞士计算机科学家写一本书 《Algorithms + Data Structures = Programs》。即:算法 + 数据结构 = 程序。40 多年过去了,这个等式依然成立。

很多代码面试题都要求候选者深入理解数据结构,不管你来自大学计算机专业还是编程培训机构,也不管你有多少年编程经验。有时面试题会直接提到数据结构,比如“给我实现一个二叉树”,然而有时则不那么明显,比如“统计一下每个作者写的书的数量”。

什么是数据结构?

数据结构是计算机存储、组织数据的方式。对于特定的数据结构(比如数组),有些操作效率很高(读某个数组元素),有些操作的效率很低(删除某个数组元素)。程序员的目标是为当前的问题选择最优的数据结构。

为什么我们需要数据结构?

数据是程序的核心要素,因此数据结构的价值不言而喻。无论你在写什么程序,你都需要与数据打交道,比如员工工资、股票价格、杂货清单或者电话本。在不同场景下,数据需要以特定的方式存储,我们有不同的数据结构可以满足我们的需求。

8 种常用数据结构

  1. 数组
  2. 队列
  3. 链表
  4. 前缀树
  5. 哈希表

1. 数组

数组(Array)大概是最简单,也是最常用的数据结构了。其他数据结构,比如栈和队列都是由数组衍生出来的。

下图展示了 1 个数组,它有 4 个元素:

每一个数组元素的位置由数字编号,称为下标或者索引(index)。大多数编程语言的数组第一个元素的下标是 0。

根据维度区分,有 2 种不同的数组:

  • 一维数组(如上图所示)
  • 多维数组(数组的元素为数组)

数组的基本操作

  • Insert - 在某个索引处插入元素
  • Get - 读取某个索引处的元素
  • Delete - 删除某个索引处的元素
  • Size - 获取数组的长度

2. 栈

撤回,即 Ctrl+Z,是我们最常见的操作之一,大多数应用都会支持这个功能。你知道它是怎么实现的吗?答案是这样的:把之前的应用状态(限制个数)保存到内存中,最近的状态放到第一个。这时,我们需要栈(stack)来实现这个功能。

栈中的元素采用 LIFO (Last In First Out),即后进先出。

下图的栈有 3 个元素,3 在最上面,因此它会被第一个移除:

栈的基本操作

  • Push — 在栈的最上方插入元素
  • Pop — 返回栈最上方的元素,并将其删除
  • isEmpty — 查询栈是否为空
  • Top — 返回栈最上方的元素,并不删除

3. 队列

队列(Queue)与栈类似,都是采用线性结构存储数据。它们的区别在于,栈采用 LIFO 方式,而队列采用先进先出,即FIFO(First in First Out)。

下图展示了一个队列,1 是最上面的元素,它会被第一个移除:

队列的基本操作

  • Enqueue — 在队列末尾插入元素
  • Dequeue — 将队列第一个元素删除
  • isEmpty — 查询队列是否为空
  • Top — 返回队列的第一个元素

4. 链表

链表(Linked List)也是线性结构,它与数组看起来非常像,但是它们的内存分配方式、内部结构和插入删除操作方式都不一样。

链表是一系列节点组成的链,每一个节点保存了数据以及指向下一个节点的指针。链表头指针指向第一个节点,如果链表为空,则头指针为空或者为 null。

链表可以用来实现文件系统、哈希表和邻接表。

下图展示了一个链表,它有 3 个节点:

链表分为 2 种:

  • 单向链表
  • 双向链表

链表的基本操作

  • InsertAtEnd — 在链表结尾插入元素
  • InsertAtHead — 在链表开头插入元素
  • Delete — 删除链表的指定元素
  • DeleteAtHead — 删除链表第一个元素
  • Search — 在链表中查询指定元素
  • isEmpty — 查询链表是否为空

5. 图

图(graph)由多个节点(vertex)构成,节点之间阔以互相连接组成一个网络。(x, y)表示一条边(edge),它表示节点 x 与 y 相连。边可能会有权值(weight/cost)。

图分为两种:

  • 无向图
  • 有向图

在编程语言中,图有可能有以下两种形式表示:

  • 邻接矩阵(Adjacency Matrix)
  • 邻接表(Adjacency List)

遍历图有两周算法

  • 广度优先搜索(Breadth First Search)
  • 深度优先搜索(Depth First Search)

6. 树

树(Tree)是一个分层的数据结构,由节点和连接节点的边组成。树是一种特殊的图,它与图最大的区别是没有循环。

树被广泛应用在人工智能和一些复杂算法中,用来提供高效的存储结构。

下图是一个简单的树以及与树相关的术语:

树有很多分类:

  • N 叉树(N-ary Tree)
  • 平衡树(Balanced Tree)
  • 二叉树(Binary Tree)
  • 二叉查找树(Binary Search Tree)
  • 平衡二叉树(AVL Tree)
  • 红黑树(Red Black Tree)
  • 2-3 树(2–3 Tree)

其中,二叉树和二叉查找树是最常用的树。

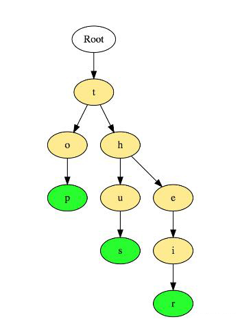
7. 前缀树

前缀树(Prefix Trees 或者 Trie)与树类似,用于处理字符串相关的问题时非常高效。它可以实现快速检索,常用于字典中的单词查询,搜索引擎的自动补全甚至 IP 路由。

下图展示了“top”, “thus”和“their”三个单词在前缀树中如何存储的:

单词是按照字母从上往下存储,“p”, “s”和“r”节点分别表示“top”, “thus”和“their”的单词结尾。

8. 哈希表

哈希(Hash)将某个对象变换为唯一标识符,该标识符通常用一个短的随机字母和数字组成的字符串来代表。哈希可以用来实现各种数据结构,其中最常用的就是哈希表(hash table)。

哈希表通常由数组实现。

哈希表的性能取决于 3 个指标:

  • 哈希函数
  • 哈希表的大小
  • 哈希冲突处理方式

下图展示了有数组实现的哈希表,数组的下标即为哈希值,由哈希函数计算,作为哈希表的键(key),而数组中保存的数据即为值(value):

客服电话
  • 0755-23712116
  • 13310869691